• 欢迎联系我们
    磁流体密封的有关疑问、
    洽谈、产品目录的需求
    等相关咨询。
  • 点击进入

   
地址:浙江省湖州市安吉县天荒坪北路888号 城北工业园3号厂房南2门
邮编:313300
电话:0572-5188761
        0572-5189181
邮箱:lou-fulin@163.com
  邮箱:lou@vigortec.cn
    
磁场作用下磁性流体粘度特性的研究
邹继斌 赵猛 胡建辉
(哈尔滨工业大学 电气工程系 黑龙江 哈尔滨 150001)

摘 要: 粘度是流体的重要特性之一。由于磁性流体中磁性微粒的存在,使得磁性流体的粘度在磁场的作用下也会产生变化。磁场梯度的存在是导致磁性流体粘度变化的原因。本文从理论上分析了磁场梯度对磁性流体粘度的影响,并且通过实验验证了磁场对磁性流体粘度的影响。
关键词: 磁性流体 粘度 磁场
中图分类号: TB42

The Search on the Viscosity of Magnetic Fluids under the Magnetic Field
Zou Jibin, ZhaoMeng, Hu Jianhui
(Department of Electrical Engineering For HIT, Harbin 150001)

Abstracts: The viscosity is the one of important character of the fluid. The viscosity of the magnetic fluid can change under magnetic field because there is the magnetic particulate in the magnetic fluid. The magnetic field grads cause the change on the viscosity of the magnetic fluid. The paper analysis that the viscosity of the magnetic fluid changes caused by the magnetic field grads. At the same time, the magnetic field affecting the viscosity of the magnetic fluid is validated by the testing.
Key words: magnetic fluid, viscosity, magnetic field


引言


  磁性流体是由基载液体、磁性微粒及附着在磁性微粒表面的表面活性剂组成。因此,磁性流体的粘性和悬浮的磁性微粒及表面活性剂的行为有关。同时,磁场对磁性流体微粒的行为也会产生影响,所以磁性流体的粘性同外磁场也有关。


1、磁性流体的粘度
1.1 没有外磁场作用时的粘度
  对于稀疏的磁性流体而言,磁性流体的粘性[2-3]可以按Einstein公式计算,即

  其中,η0- 没有磁场作用是磁性流体动力粘性系数;
  ηc- 磁性流体基载液体动力粘性系数;
  φ- 磁性流体单位体积微粒所占的体积。
  对于非稀疏的磁性流体而言,磁性流体的粘性可以根据Rosensweig公式计算,即
  通常,磁性流体基载液体的动力粘性系数 是温度的函数。因此,磁性流体的动力粘性系数 也是温度的函数,即 1.2 存在外磁场作用时的粘度
  一般地说,磁性流体的微粒科可以看作一个个的小环形电流。在外磁场的作用下,磁性流体微粒受到使其磁矩与外磁场方向一致的力矩。任何使它们偏离外磁场方向 的倾向,都必须付出克服磁场作用的功。只有存在磁性流体微粒和基载液体相对运动的前提下,才能表现出颗粒对粘性的影响。而磁场力是控制磁性流体颗粒运动的 一个因素,所以外磁场的存在,必定会对磁性流体的粘性产生影响。
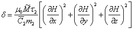
  若磁场存在时,磁性流体的粘度[4-5]为:
  其中,

  m1,m2- 液体分子、磁性微粒质量;
  n1,n2- 液体分子、磁性流体数量;
  a- 液体分子的平均直径;
  b- 磁性微粒平均直径;
  τ2-磁性微粒连续碰撞的平均时间;
  M- 每个磁性微粒的磁矩;
  H- 磁场强度;
  C2- 磁性微粒的平均速度。

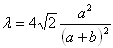
  从方程(4)可以看出,δ依赖于磁场强度梯度,于是磁性流体粘度方程中,(1+δ)1/2就是磁场对磁性流体粘度的影响。从δ的计算方程中可以看出,如果磁场强度梯度是空间坐标的x、y和z函数,那么磁性流体的粘度在空间每一点上均发生变化。如果下列三式均成立,
  即磁场强度梯度为常数,磁性流体的粘度在所有区域均相同。   同时,从方程(4)中还可以得出,当 n2/n1=0时,即溶剂的粘度ηc   2、实验研究
  图1所示为磁性流体粘度测试实验装置。从公式(4)分析中可以看出,只有当磁场梯度存在的时候,磁性流体的粘度才会产生变化。由于温度对磁性流体的粘度也 会产生影响,因此,为了能观测到磁场对磁性流体粘度的影响,所以在右图测试装置中另加了一个温度计以确保温度的恒定,从而可以观测出磁场的变化导致的对磁 性流体的粘度产生影响不是由于温度的变化而产生的。同时,磁性流体的液面要足够的大,磁性流体的深度要足够的深,即磁性流体的量要足够大,这样就可以忽略 由于粘度计测试端的触点所带来的误差。
  3、实验结果及分析
  图2所示为磁性流体粘度随温度变化曲线。该曲线的测量结果是磁性流体没有受到磁场作用下得到。从图中可以清楚地看出,随着温度的逐渐升高,磁性流体的粘度 在逐渐的降低,这是由于随着温度的升高,溶液中微粒的布朗运动加剧,使得磁性流体基载液和磁性微粒之间的旋转速度差逐渐降低,从而粘度逐渐降低。这一特性 和普通流体的粘度与温度特性相似。

  图3所示为通过粘度计测量的磁性流体粘度在不同电流作用下随时间变化曲线。在环境和磁性流体温度不变的情况下,从图中可以清楚地看出,在磁场作用磁性流体的开始阶段,磁场越大,磁性流体的粘度的变化率越大。同时,磁性流体的粘度也越大。

  在环境和磁性流体温度不变的情况下,在同一电流作用下,磁性流体的粘度随着电流作用时间的不断增加也在不断的增 加。这是由于在电流作用前,由于热运动,磁性微粒中的分子磁效应的总和总是可以用一个等效的圆电流表示,即分子电流。分子电流的磁矩任意取向,杂乱无章 的,磁性微粒中分子的合成磁矩为零。而此时磁性流体内各粒子的相互摩擦是产生粘度的主要原因。磁性流体中磁性微粒的存在,当磁性流体受到磁场作用时,磁性 微粒的磁化矢量 总是要和外磁场强度矢量 的方向保持一致。同时,磁性微粒的旋转是因为磁性流体基载液的涡旋带动的。这样磁性流体中分子电流由于磁性微粒的旋转而形成微小电流环。在磁场中,微小电 流环就如同电机的转子线圈那样受到磁力矩的作用。这个力矩总是要阻止磁性微粒的旋转,从而造成磁性流体基载液和磁性微粒之间旋转速度差的增大,也就使得两 者之间的摩擦力增加,导致磁性流体粘度的增加。但是,随着时间的进一步推移,磁性流体基载液和磁性微粒之间旋转速度逐渐趋于稳定,这样磁性流体的粘度逐渐 恒定,磁性流体粘度的变化率在不断的减小,最后磁性流体的粘度达到某一恒定值。如图4所示。   图4所示为温度一定,磁性流体粘度与磁场关系。从曲线中进一步可以看出,随着磁场的逐渐增加,磁性流体的粘度在不断增加。产生这一现象的原因是由于磁场的增加,使得磁性流体基载液和磁性微粒之间的旋转速度差进一步加大,从而使得磁性流体的粘度进一步增加。   4、结论
  磁性流体粘度是磁性流体的一种重要特性。由于磁性流体是一种两相流体,在磁场的作用下,磁性流体还要受到磁场的作用,磁性流体的粘度会发生变化。
  ①磁性流体在没有磁场作用时,作为普通两相流体,其粘度随着温度的逐渐升高而逐渐减小。
  ②磁性流体在受到磁场作用时,由于磁性流体基载液和磁性微粒之间旋转速度差的增加,其粘度要大于未受到磁场作用时的粘度;同时,在磁性流体未达到饱和前, 温度相同时,磁场越强,磁性流体基载液和磁性微粒之间的旋转速度差进一步增加,其粘度也随之加大,但是当磁性流体达到饱和状态以后,其粘度随磁场强度变化 的趋势减缓。
  ③磁性流体在受到磁场作用是,当磁场强度梯度存在变化时,沿着磁场强度梯度变化的方向上,磁性流体的粘度均发生变化;当磁场梯度为常数时,磁性流体的粘度在整个区域均相同。


参考文献:
[1] 邹继斌 等. 磁性流体密封原理与设计 [M]. 国防工业出版社. 2000.8
Zou Jibin. Fundamentals and Design Method of Magnetic Fluid Seals. [M] National Defence Industry Press. 2000.8
[2] J. P. Mctague. Magnetoviscosity of magnetic colloids. J. Chem. Phys. 1969, (51):133-136
[3] W. F. Hall, s. N. Busenuerg. Viscosity of Magnetic Suspensions. J. Chem. Phys. 1969,(51):137-144
[4] D. K. Wagh, Ashima Avashia. On the viscosity of a magnetic fluid. JMMM. 1996, (153):359-365
[5] V. Stepanov. Magnetoviscosity and Relaxation in Magnetic Fluids. JMMM. 2003, (258-259):443-445